开发方案IC芯片规格参数
| 封装图 | 型号 | 输入电压(V) | 输出电压(V) ) | 输出电流(mA) | 输出功率范围 | 驱动方式 | 调光功能 | 封装 | 应用资料 |
|---|---|---|---|---|---|---|---|---|---|
![]() | OC5217 | 5.5~30v | ≤Vi-1.0V | ≤0.8A | ≤10W | 内置MOS | PWM调光/线性调光 | SOT23-5 | 产品详情 |
?"http://m.o0kh.cn/post/jiangyahengliuxinpian/4OV6QGq51AL8.html" >OC5217是一款连续电感电流导通模式的降压型LED恒流驱动器,可用于驱动一个或多个LED灯串,具有工作电压从5.5V到30V,提供可调的输出电流,最大输出电流可达到800mA等优势及特点。
OC5217在驱动多个LED RGB幻彩灯珠的应用
LED RGB幻彩灯中需要恒定的电流驱动,如下图某客户的对于OC5217的设计应用中,输入浮动电压12V左右的电压,根据使用的LED RGB灯珠需要驱动电流60mA,使用OC5217驱动的时候,应注意灯珠的数量,同时需要注意采样电阻的阻值设计。

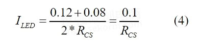
电流取样电阻选择:
系统稳定后,可假设负载RGB灯珠上的电压稳定,于是可近似认为电感电流呈线性变化。故由前面叙述可知,电流取样电阻RCS上的电流与负载RGB灯珠上电流相等,于是电阻RCS的取值决定了负载电流的大小。

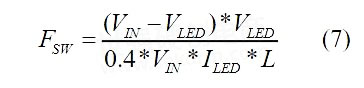
同时需要根据电流值更改电感量,不是固定的使用47uH。

为保证芯片可靠稳定工作,建议其工作频率低于系统最大工作频率1MHz。
OC5217在LED RGB幻彩灯中的应用优势
1、能达到800mA的最大驱动电流是需多灯珠驱动的参考方案之一,其内置功率开关,采用高端电流检测电路,以及兼容PWM和模拟调光的调光脚DIM,省去多余的IC提供调光信号。
2、内置过温保护电路,当芯片达到过温保护点进入过温?;つJ剑涑龅缌髦鸾ハ陆狄蕴岣呦低晨煽啃?。
3、还具有防止输出电流过充的能力,防止后级灯珠因电流过高而减少使用寿命或烧坏,提高灯珠的工作寿命。
以上优势可以帮助客户实现最高的可扩展性的同时,提高方案灵活性和成本效益。





